本文最后更新于 3 分钟前,文中所描述的信息可能已发生改变。
名词解释 (必考)
电子亲和势
- 定义:导带底的电子要想跑出体外必须增加的能量称为电子亲和势 。
- 公式:,其中 是亲和势, 是真空能级, 是导带底的能级。
- 特点:与材料的种类有关。
电子逸出功 (功函数)
- 定义:由费米能级到真空能级的距离称为逸出功(脱出功)。
- 公式:,其中 是逸出功, 是真空能级, 是费米能级。
- 特点:与材料的种类,掺杂情况有关。
空间电荷
- 定义:空间电荷是指半导体中由于电荷载流子的分布不均匀而产生的电荷密度。
- 作用:在 PN 结、MOS 结构等中,空间电荷区会影响电场和电势的分布。
耗尽层
- 定义:是指 PN 结中在漂移运动和扩散作用的双重影响下载流子数量非常少的一个高电阻区域。
- 特点:
耗尽层的宽度与材料本身性质、温度以及偏置电压的大小有关。
累积层
- 定义:半导体表面由于大量同种载流子的聚集而形成的区域。
光吸收系数 α
- 定义:光吸收系数表示材料吸收光的能力。
- 公式:,其中 I 是距离入射点 处的光强, 是初始光强, 是光吸收系数。
- 应用:太阳能电池和 LPD 等吸收材料选择光吸收系数
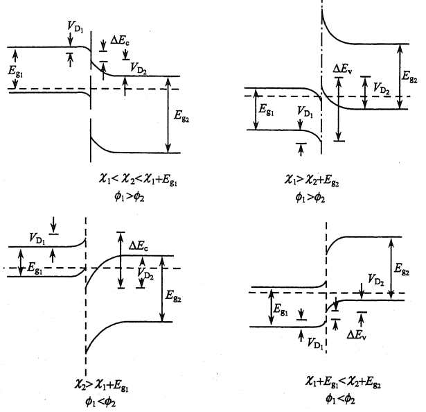
半导体异质结(了解)
- 定义:半导体异质结是由两种不同的半导体材料组成的结。在这些材料的界面上,材料的能带结构不同,这会引起电荷载流子的重新分布和能带的弯曲。
- 重要性:
异质结在现代电子器件中起重要作用,如高电子迁移率晶体管(HEMT)、量子阱激光器等。
突变异质结能带 (了解)
- 定义:突变异质结能带是指在异质结中,由于材料之间的能带不连续,引起能带的突变。
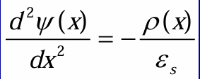
泊松方程 (了解)
- 定义:泊松方程描述了电场和电荷分布之间的关系。
- 公式:其中 是介电常数, 是电势, 是电荷密度。
要求:如何推导载流子浓度
异质结能带图
异型异质结能带图(pN、nP)
- 示例:YSL3-6 几种同型异质结能带图如下, (a)和© pN, (b)和(d) nP:

同型异质结能带图(nN、pP)
- 定义:同型异质结是由两种同类型半导体材料组成的异质结,有 nN 和 pP 两种。
- 特点
- 同型异质结的能带图中,导带和价带都是连续的。
- 在同型异质结中界面两边的载流子类型相同,没有完全耗尽;
- 窄带一边是电子的积累层,自由载流子对电荷是有贡献的
- 示例:YSL3-12 几种同型异质结能带图如下, (a)和© nN, (b)和(d) pP:

匹配方式小结
- 异型异质结是 type-II 能带,同型异质结是 type-I。
- 能量流向由逸出功高的一侧流向逸出功低的一侧。
- P 型半导体导带底到费米能级的距离大于费米能级到价带顶的距离,N 型半导体相反。
异质结能带图的分类(补充)
当半导体/半导体,或者绝缘体/半导体接触形成界面结构时,因为禁带宽度不同,在两侧材料的导带底和价带顶处会形成不连续的台阶,即能带台阶 (band offset), 其中导带底处的能带台阶被称为导带台阶 (conduction band offset, CBO),价带顶处的能带台阶被称为价带台阶(valence band offset, VBO)。
根据能带对变化情况,半导体异质结被分为三类:type-I, type-II, 和 type-III,其能带图如图: 
异质结能带图的绘制(补充)

扩散模型 (了解)
- 定义:扩散模型描述了载流子在半导体中的扩散行为。
漂移方程 (了解)
- 定义:漂移方程描述了载流子在电场作用下的运动。
生长成膜方式(必考)
核生长型
- 特点
- 到达衬底上的沉积原子首先凝聚成核,后续飞来的沉积原子不断聚集在核附近,使核在三维方向上不断长大而最终形成薄膜。
- 这种类型的生长一般在衬底晶格和沉积膜晶格不相匹配(非共格)时出现,大部分的薄膜的形成过程属于这种类型。
核生长型薄膜生长的四个阶段:- 成核:在此期间形成许多小的晶核,按统计规律分布在基片表面上;
- 晶核长大并形成较大的岛:这些岛常具有小晶体的形状;
- 岛与岛之间聚接形成含有空沟道的网络
- 沟道被填充:在薄膜的生长过程中,当晶核一旦形成并达到一定尺寸之后,另外再撞击的离子不会形成新的晶核,而是依附在已有的晶核上或已经形成的岛上。分离的晶核或岛逐渐长大彼此结合便形成薄膜。
层生长型
- 特点
- 沉积原子在衬底的表面以单原子层的形式均匀地覆盖一层,然后再在三维方向上生长第二层、第三层。
- 一般在衬底原子与沉积原子之间的键能接近于沉积原子相互之间键能的情况下(共格)发生这种生长方式的生长。
层核生长型
- 特点
- 生长机制介于核生长型和层生长型的中间状态。
- 当衬底原子与沉积原子之间的键能大于沉积原子相互之间键能的情况下(准共格)多发生这种生长方式的生长。
- 在半导体表面形成金属膜时常呈现这种方式的生长。
薄膜制作工艺(必考)
物理气相沉积(PVD)
- 定义:利用物理方法在基片上沉积薄膜,如真空热蒸发、溅射等。
真空热蒸镀
- 定义:将被镀料(蒸发材料)置于蒸发加热器中,通过加热使镀料熔化蒸发,蒸发的镀料则以分子或原子状态飞出,沉积在温度相对较低的基板上,形成薄膜。
真空蒸发镀膜的三种基本过程:- 热蒸发过程是镀料由凝聚相转变成气相(固相或液相、气相)的相变过程。 每种蒸发物质在不同温度时有不相同的饱和蒸汽压;蒸发化合物时,其组分之间发生反应,其中有些组分以气态或蒸气进入蒸发空间。
- 气化原子或分子在蒸发源与基片之间蒸发粒子的输运,即这些粒子在环境气氛中的飞行过程。 飞行过程中与真空室内残余气体分子发生碰撞的次数, 取决于蒸发原子的平均自由程及蒸发源到基片之间的距离,常称源-基距。
- 蒸发原子或分子在基片表面上的淀积过程,即是蒸发粒子到达基片后凝结、成核、长大、成膜。 由于基板温度远低于蒸发源温度,因此,淀积物分子在基板表面将直接发生从气相到固相的相转变。
溅射
- 定义:所谓“溅射”是指荷能粒子轰击固体(称为靶)表面,使固体原子(或分子) 从表面射出的现象。这些被溅射出来的原子将带有一定的动能,并且具有方向性。 应用这一现象将溅射出来的物质沉积到基片或工件表面形成薄膜的方法称为溅射 (镀膜)法。其实就是,利用高能粒子轰击靶材,使其原子溅射到基片上形成薄膜。
化学气相沉积(CVD)
- 定义:利用化学反应在基片上沉积薄膜。
- 工艺:典型的 CVD 工艺是将晶圆(基底)暴露在一种或多种不同的前趋物下,在基底表面发生化学反应或/及化学分解来产生欲沉积的薄膜。
- 反应过程中通常也会伴随地产生不同的副产品,但大多会随着气流被带走,而不会留在反应腔(reaction chamber)中。
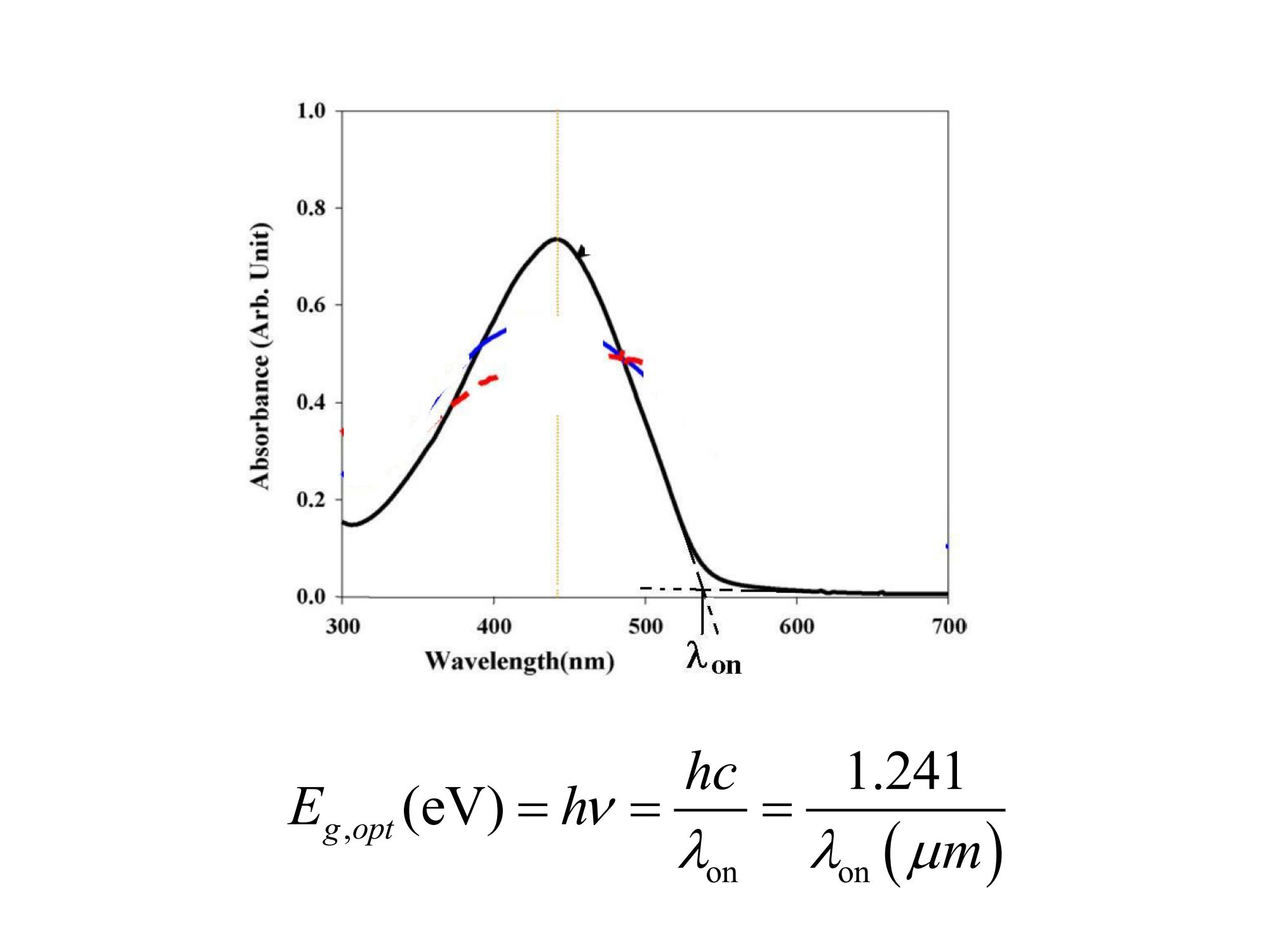
光学带隙(计算)
截线法
- 定义:禁带宽度 的单位一般用 表示,截线法是一种简易的求取半导体禁带宽度的方法,其基本原理是认为半导体的带边波长(也叫吸收阈值,)决定于禁带宽度,两者之间存在如下的数量关系:
- 示例:如图所示,在吸收光谱的曲线上,沿着曲线变化最大位置的点做切线,记录切线与 x 轴的交点位置为 ,然后用 计算禁带宽度 。

场效晶体管
光敏有机场效应晶体管(photo-responsive organic field-effect transistor, PhotOFET)(必考)
在黑暗条件下,PhotOFET 的有机活性层仅作为载流子传输层,通过栅极电场在该层诱导出载流子形成导电沟道,当在漏源极方向施加以合适的电场后, 载流子从源电极注入有机半导体层,经流导电沟道从漏电极流出,由此形成沟道电流,表现出场效应特性。
当光照时,PhotOFET 的有机半导体层既要传输载流子还要吸收光子,由此产生光生载流子和光生电流,器件同时展现出光敏和场效应特性。 大致包括以下几个阶段:
- 光生激子的产生:当入射光波能量大于有机材料的光学带隙,有机材料吸收能量使电子从基态跃迁至激发态,在有机活性层分子内产生电子-空穴对,即光生激子。
- 扩散:光生激子伴随着浓度场将向四周扩散。
- 离解:少数光生激子在光能或热能的作用下离解为自由电子和空穴,还有部分光生激子扩散到源电极/有机界面处在 电场的作用下离解为自由电子和空穴,通常认为在源电极/有机活性层界面处分布有较强的电场促使光生激子发生高效地离解。
- 光生电流:光生激子离解后产生的自由空穴迁移至沟道层参与传输电荷,
沟道传输层通常位于栅介质/有机半导体界面处有机半导体层内几个纳米的厚度范围之内,由此使器件的源漏电流增加,增大部分的源漏电流即光生电流。光生激子离解后同时产生的还有自由电子型的载流子,但由于薄膜材料电子迁移率很低,因此解离的电子产生的额外电流对总电流的贡献可以忽略不计。
有机场效晶体管(补充)
定义
有机场效应晶体管是一种基于有机半导体的有源器件,源极导电沟道中注入电荷,漏极收集从导电沟道中流出的电荷,栅极诱导有机半导体与绝缘层界面产生电荷形成导电沟道。 整个有机场效应晶体管可以看做是一个电容器,栅极是电容器的一个极板,位于源漏电极之间的导电沟道是电容器的另一极板,而夹在中间的栅绝缘层相当于电容器的绝缘板。 例如,在底栅顶接触有机场效应晶体管中,当栅压和源漏电压均为零的时候,器件处于关闭状态。 外加一定的栅压(Vg),有机半导体层和绝缘层界面诱导产生电荷, 在源漏电压为零时,电荷均匀的分布在沟道中,施加一定的源漏电压(Vsp),感应电荷参与导电。 通过调节栅压的大小改变电容器电场强度,调节导电沟道中电荷密度,改变导电沟道的宽窄从而控制电流的大小。因此,有机场效应晶体管是一种压控型的有源器件。
底栅顶接触有机场效应晶体管结构图
底栅和顶栅是根据栅极的位置来划分,底栅是栅极沉积在栅绝缘层的下方,顶栅是栅极沉积在有机半导体和绝缘层上方; 而顶接触和底接触是根据有机半导体和源漏电极的位置来划分,顶接触是有机半导体先生长在栅绝缘层再进行源漏电极的沉积,而底接触是有机半导体的基底是源漏电极和栅绝缘层。
| 源极(Vds) | 漏极 | |
| 有机活性层 | ||
| 栅介质层 | ||
| 栅极(Vg) | ||
| 衬底 | ||
文献资料
有机光敏场效应管制备及其电极修饰研究
OFET 器件的工作原理与无极场效应管相似,他们都可以当作一个由两个极板组成的电容。两个极板通过绝缘层隔开,绝缘层的一边为有源层,另一边为栅电极。 通过向栅极施加不同电压使得沟道产生变化从而调节器件中载流子的流动。当栅极有电压施加在上面,这会使得靠近介电层的有源层之间的界面产生感应电荷从而形成导电沟道。 之后通过在源漏两端施加电压可以驱动载流子通过导电沟道形成电流。随着所施加的栅极电压不断变大,两个极板之间的电场强度也会逐渐增大,使得器件中的有机材料的能级发生变化从而调节源漏电极之间电流的大小。 因此可以通过调整栅极电压来实现对于源漏电流的控制。这里将整个器件比作一个水龙头,器件的栅极就是水龙头的阀门,而源漏电极之间的电流比作是通过水龙头的水流。
而在有机光敏场效应晶体管中,并不是只有栅极才能进行源漏电流的调整。 还可以通过对于入射光的调整来调节器件的光电流从而实现对于器件电流的控制。通过分析 PhOFET 工作时内部变化,来解释光敏器件的发光原理。 在光照条件下,有机光敏场效应管的光敏层吸收的光子能量超过了半导体材料的带隙时,有机半导体材料中的分子在通过光子的激励后由基态转变为激发态。分子中的电子由 HOMO 能级跃迁到 LUMO 能级或更高的能级,从而形成电子-空穴对产生激子。 随着浓度梯度的作用,激子扩散到光敏层与沟道层,并在外电场的作用下解离成自由的电子与空穴,在传输过程中一部分载流子被器件内部的陷阱所捕获,其余部分参与沟道电流的传输。这便是有机场效应管实现光敏性能的原因。
参考文献:刘辰. 有机光敏场效应管制备及其电极修饰研究[D].中国计量大学,2022.DOI:10.27819/d.cnki.gzgjl.2020.000528.
双栅光敏有机场效应晶体管研究
图 2-5 为采用底栅顶接触光敏有机场效应晶体管结构,本文以单层光敏有机 场效应晶体管为主说明其工作原理,其他结构工作原理是类似的,可参考本结构。 在黑暗条件下,PhotOFET 的有机活性层仅作为载流子传输层,通过栅极电场在 该层诱导出载流子形成导电沟道,当在漏源极方向施加以合适的电场后,载流子 从源电极注入有机半导体层,经流导电沟道从漏电极流出,由此形成沟道电流, 表现出场效应特性。当光照时,PhotOFET 的有机半导体层既要传输载流子还要 吸收光子,由此产生光生载流子和光生电流,器件同时展现出光敏和场效应特性 。在光照下发生在器件中的物理过程如图 2-5 所示,大致包括以下几个阶段: ① 光生激子的产生,当入射光波能量大于有机材料的光学带隙,有机材料吸收能 量使电子从基态跃迁至激发态,在有机活性层分子内产生电子-空穴对,即光生 激子。② 光生激子伴随着浓度场将向四周扩散。③ 少数光生激子在光能或热能的 作用下离解为自由电子和空穴,还有部分光生激子扩散到源电极/有机界面处在 电场的作用下离解为自由电子和空穴,通常认为在源电极/有机活性层界面处分 布有较强的电场促使光生激子发生高效地离解。④ 光生激子离解后产生的自由空 穴迁移至沟道层参与传输电荷,沟道传输层通常位于栅介质/有机半导体界面处 有机半导体层内几个纳米的厚度范围之内,由此使器件的源漏电流增加,增大部 分的源漏电流即光生电流。光生激子离解后同时产生的还有自由电子型的载流 子,但由于薄膜材料电子迁移率很低,因此解离的电子产生的额外电流对总电流 的贡献可以忽略不计。相对于 N 沟道的 PhotOFET 器件,参与导电的光生载流子 是电子,空穴对电流增加产生的贡献可以忽略。因此 PhotOFET 常常表现出单极性特性。
在单层器件中,由于光生激子产生与解离、光生载流子的传输都是在光敏层, 光生电子和光生空穴在传输过程中容易发生复合,这将严重影响器件光电流的产 生。实际应用中,对于单层器件可以采用源漏电极形成肖特基接触和外加栅压的 方法来增加器件内部电场,以提高光生激子的解离效率。虽然增大了光生载流子 产生效率,但是肖特基接触增加了接触电阻,不利于载流子的注入和传输,所以 单层结构的 PhotOFET 载流子输运效率较低。还有些文献报道了异质结结构的原 理,并应用于光敏有机场效应晶体管结构中。这些结构的光敏器件具有较 高的激子分离效率。由其中的体异质结实现电荷分离的功能,平面异质结负责电 荷传输,这样既拥有较高的激子分离效率,又具备较好的载流子传输特性,理论 上能够实现高性能的器件。
参考文献:徐苏楠. 双栅光敏有机场效应晶体管研究[D].兰州大学,2021.DOI:10.27204/d.cnki.glzhu.2020.000095.
复盘
- 名词解释(30)
- 电子亲和势
- 电子逸出功
- 异质结及异质结构
- 费米能级
- HOMO 能级和 LUMO 能级,以及无机半导体中对应能级
- 通过光学吸收谱计算光学带隙(10)
- 简答薄膜材料,介绍薄膜材料生长方式和作用条件(15)
- 简述入射强度与出射强度的公式,吸收系数(10)
- 真空蒸发镀膜的结构图,工作机理,优缺点(15)
- 介绍新型光电子器件结构图,工作机理,制备仪器(20)